Keselem
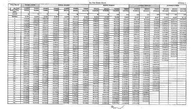
Pay Fixation Table / Promoted from level 5 to 6.